Hotline:
+1 (678) 244-1536
sales@hpc-standards.us
271 17th Street, NW, Suite 1750
Atlanta, GA 30363
| Item number | 674610 |
| CAS | 1998128-81-6 |
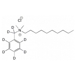
| Formula | C19H27ClD7N |
| Molecular weight | 318,98 g/mol |
| Quantity | 1x10mg |
| storage conditions | 20 °C |
| CoA / MSDS | Retrieve CoA Retrieve MSDS Show Safety Data Sheet online |
| Safety Data Sheet | according to Regulation (EC) No 1907/2006 (REACH) Classifications according to Regulation (EC) No 1272/2008. Printdate February 7, 2026 |
| IDENTIFICATION OF THE SUBSTANCE/MIXTURE AND OF THE COMPANY/UNDERTAKING | |
| Product name: | D7-Benzyldimethyldecylammonium chloride |
| Catalog No.: | 674610 |
| Relevant identified uses of the substance or mixture | Identified: Laboratory chemical uses: R&D |
| Uses advised against: | HPC Standards GmbH An der Laakenwiese 7 04838 Jesewitz Deutschland Tel. +49 34241 54 990 Fax. +49 34241 54 9999 contact@hpc-standards.com |
| Emergency telephone number | HPC Standards Tel. +49 34291 3372-36 This number is only available during office hours. |
| HAZARDS IDENTIFICATION | 2.1 Classification of the substance or mixture Classification according to Regulation (EC) No 1272/2008 Skin irritation (Category 2), H315 Eye irritation (Category 2), H319 Skin sensitisation (Category 1), H317 Classification according to EU Directives 67/548/EEC or 1999/45/EC Xi Irritant R36/38, R43 |
| Label elements | |
| Pictogram | GHS07 exclam exclam |
| Signal word Warning Hazard statement(s) H315 Causes skin irritation. H317 May cause an allergic skin reaction. H319 Causes serious eye irritation. Precautionary statement(s) P280 Wear protective gloves. P305 + P351 + P338 IF IN EYES: Rinse cautiously with water for several minutes. Remove contact lenses, if present and easy to do. Continue rinsing. Supplemental Hazard Statements none 2.3 Other hazards - none | |
| COMPOSITION/INFORMATION ON INGREDIENTS | |
| Formula | C19H27ClD7N |
| Molecular Weight (g/mol) | 318.98 |
| CAS-No. | 1998128-81-6 |
| FIRST AID MEASURES | 4.1 Description of first aid measures General advice Consult a physician. Show this safety data sheet to the doctor in attendance. If inhaled If breathed in, move person into fresh air. If not breathing, give artificial respiration. Consult a physician. In case of skin contact Wash off with soap and plenty of water. Consult a physician. In case of eye contact Rinse thoroughly with plenty of water for at least 15 minutes and consult a physician. If swallowed Never give anything by mouth to an unconscious person. Rinse mouth with water. Consult a physician. 4.2 Most important symptoms and effects, both acute and delayed The most important known symptoms and effects are described in the labelling (see section 2.2) and/or in section 11 4.3 Indication of any immediate medical attention and special treatment needed no data available |
| FIRE-FIGHTING MEASURES | 5.1 Extinguishing media Suitable extinguishing media Use water spray, alcohol-resistant foam, dry chemical or carbon dioxide. 5.2 Special hazards arising from the substance or mixture Carbon oxides 5.3 Advice for firefighters Wear self contained breathing apparatus for fire fighting if necessary. 5.4 Further information no data available |
| ACCIDENTAL RELEASE MEASURES | 6.1 Personal precautions, protective equipment and emergency procedures Use personal protective equipment. Avoid breathing vapours, mist or gas. Ensure adequate ventilation. For personal protection see section 8. 6.2 Environmental precautions Do not let product enter drains. 6.3 Methods and materials for containment and cleaning up Soak up with inert absorbent material and dispose of as hazardous waste. Keep in suitable, closed containers for disposal. 6.4 Reference to other sections For disposal see section 13. |
| HANDLING AND STORAGE | 7.1 Precautions for safe handling Avoid contact with skin and eyes. Avoid inhalation of vapour or mist. For precautions see section 2.2. 7.2 Conditions for safe storage, including any incompatibilities Store in cool place. Keep container tightly closed in a dry and well-ventilated place. Containers which are opened must be carefully resealed and kept upright to prevent leakage. Recommended storage temperature: 7.3 Specific end use(s) A part from the uses mentioned in section 1.2 no other specific uses are stipulated |
| EXPOSURE CONTROLS/PERSONAL PROTECTION | 8.1 Control parameters Components with workplace control parameters 8.2 Exposure controls Appropriate engineering controls Handle in accordance with good industrial hygiene and safety practice. Wash hands before breaks and at the end of workday. Personal protective equipment Eye/face protection Face shield and safety glasses Use equipment for eye protection tested and approved under appropriate government standards such as NIOSH (US) or EN 166(EU). Skin protection Handle with gloves. Gloves must be inspected prior to use. Use proper glove removal technique (without touching glove's outer surface) to avoid skin contact with this product. Dispose of contaminated gloves after use in accordance with applicable laws and good laboratory practices. Wash and dry hands. The selected protective gloves have to satisfy the specifications of EU Directive 89/686/EEC and the standard EN 374 derived from it. Body Protection Complete suit protecting against chemicals, The type of protective equipment must be selected according to the concentration and amount of the dangerous substance at the specific workplace. Respiratory protection Where risk assessment shows air-purifying respirators are appropriate use a full-face respirator with multi-purpose combination (US) or type ABEK (EN 14387) respirator cartridges as a backup to engineering controls. If the respirator is the sole means of protection, use a full-face supplied air respirator. Use respirators and components tested and approved under appropriate government standards such as NIOSH (US) or CEN (EU). Control of environmental exposure Do not let product enter drains. |
| PHYSICAL AND CHEMICAL PROPERTIES | 9.1 Information on basic physical and chemical properties a) Appearance Form: solid b) Odour no data available c) Odour Threshold no data available d) pH no data available e) Melting point/freezing point no data available f) Initial boiling point and boiling range no data available g) Flash point no data available h) Evapouration rate no data available i) Flammability (solid, gas) no data available j) Upper/lower flammability or explosive limits no data available k) Vapour pressure no data available l) Vapour density no data available m) Relative density no data available n) Water solubility no data available o) Partition coefficient: noctanol/ water log Pow: no data available p) Auto-ignition temperature no data available q) Decomposition temperature no data available r) Viscosity no data available s) Explosive properties no data available t) Oxidizing properties no data available 9.2 Other safety information no data available |
| STABILITY AND REACTIVITY | 10.1 Reactivity no data available 10.2 Chemical stability Stable under recommended storage conditions. 10.3 Possibility of hazardous reactions no data available 10.4 Conditions to avoid no data available 10.5 Incompatible materials Oxidizing agents, Reducing agents, Water 10.6 Hazardous decomposition products In the event of fire: see section 5 |
| TOXICOLOGICAL INFORMATION | 11.1 Information on toxicological effects Acute toxicity no data available Skin corrosion/irritation no data available Serious eye damage/eye irritation no data available Respiratory or skin sensitisation Germ cell mutagenicity no data available Carcinogenicity IARC: No component of this product present at levels greater than or equal to 0.1% is identified as probable, possible or confirmed human carcinogen by IARC. Reproductive toxicity no data available Specific target organ toxicity - single exposure no data available Specific target organ toxicity - repeated exposure no data available Aspiration hazard no data available Additional Information RTECS: Not available To the best of our knowledge, the chemical, physical, and toxicological properties have not been thoroughly investigated., Skin sensitisation |
| ECOLOGICAL INFORMATION | 12.1 Toxicity no data available 12.2 Persistence and degradability no data available 12.3 Bioaccumulative potential no data available 12.4 Mobility in soil no data available 12.5 Results of PBT and vPvB assessment PBT/vPvB assessment not available as chemical safety assessment not required/not conducted 12.6 Other adverse effects no data available |
| DISPOSAL CONSIDERATIONS | 13.1 Waste treatment methods Product Offer surplus and non-recyclable solutions to a licensed disposal company. Contaminated packaging Dispose of as unused product. |
| TRANSPORT INFORMATION | 14.1 UN number ADR/RID: - IMDG: - IATA: - 14.2 UN proper shipping name ADR/RID: Not dangerous goods IMDG: Not dangerous goods IATA: Not dangerous goods 14.3 Transport hazard class(es) ADR/RID: - IMDG: - IATA: - 14.4 Packaging group ADR/RID: - IMDG: - IATA: - 14.5 Environmental hazards ADR/RID: no IMDG Marine pollutant: no IATA: no 14.6 Special precautions for user no data available |
| REGULATORY INFORMATION | This safety datasheet complies with the requirements of Regulation (EC) No. 1907/2006. 15.1 Safety, health and environmental regulations/legislation specific for the substance or mixture no data available 15.2 Chemical Safety Assessment For this product a chemical safety assessment was not carried out |
| OTHER INFORMATION | The above information is believed to be correct but does not purport to be all inclusive and shall be used only as a guide. The information in this document is based on the present state of our knowledge and is applicable to the product with regard to appropriate safety precautions. It does not represent any guarantee of the properties of the product. For lab use only! |